Willkommen bei der
Fraktion
Heimatfreunde Ilberstedt

erfahre mehr

[

MZ-Artikel vom 03.02.2026

2026-02-03_MZ-Bernburg-I.jpg

MZ-Artikel vom 21.02.2026

2026-02-21_Bernburg-I.jpg

2026-02-21_Bernburg-I.jpg

Widerspruch vom 22.01.2026

Widerpruch-01.jpg
Widerpruch-02.jpg
Widerpruch-03.jpg
Widerpruch-04.jpg
Widerpruch-05.jpg
Widerpruch-06.jpg
Widerpruch-07.jpg
Widerpruch-08.jpg
Widerpruch-09.jpg

Entscheidung des Gemeinderates vom 13.10.2025

Entscheidung-GR-1.jpg
Entscheidung-GR-2.jpg
Entscheidung-GR-3.jpg
Entscheidung-GR-4.jpg
Entscheidung-GR-5.jpg
Entscheidung-GR-6.jpg
Entscheidung-GR-7.jpg

Presseartikel der Volksstimme 14.10.2025

Volksstimme-14.10.2025.jpg

Volksstimme-14.10.2025.jpg

MZ-Artikel vom 11.10.2025

2025-10-11.jpg

MZ-Artikel vom 27.09.2025

2025-09-27.jpg

MZ-Artikel vom 29.08.2025

2025-08-29.jpg
  1. Image 1

MZ-Artikel vom 18.08.2025

MZ-2025-08-18_Bernburg_Seite_8-ZUSCHNITT-Kopie.jpg

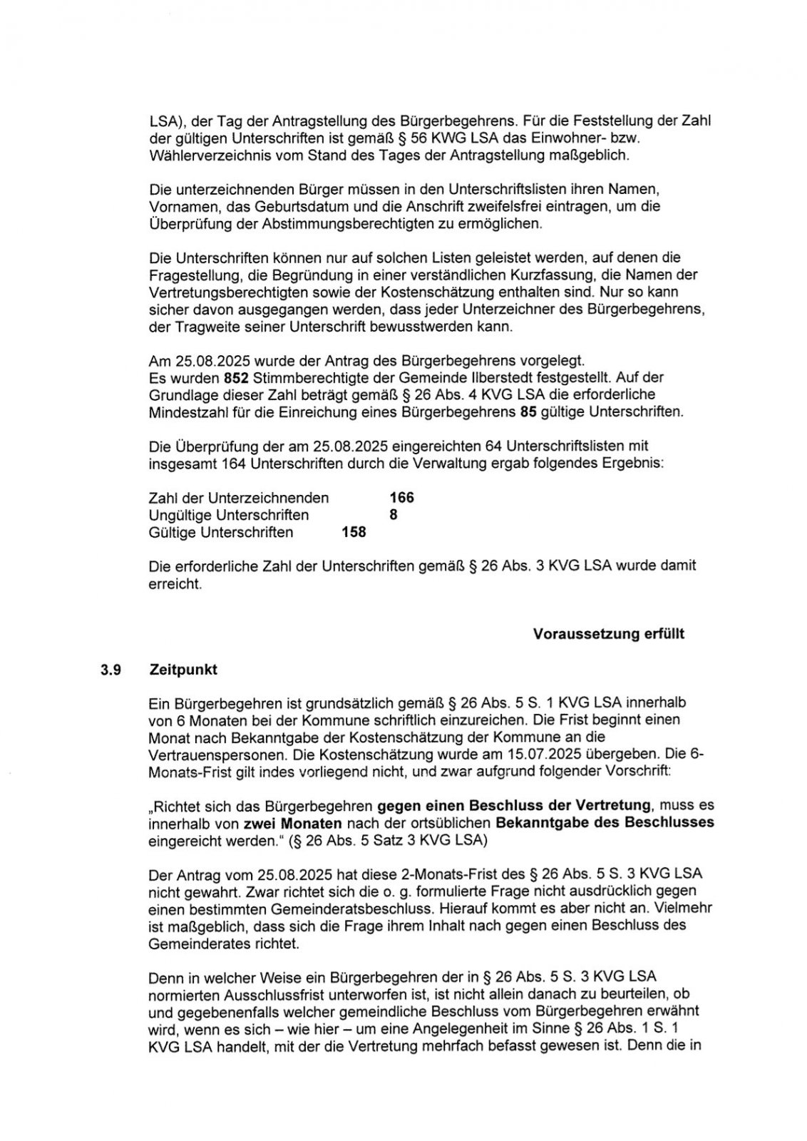
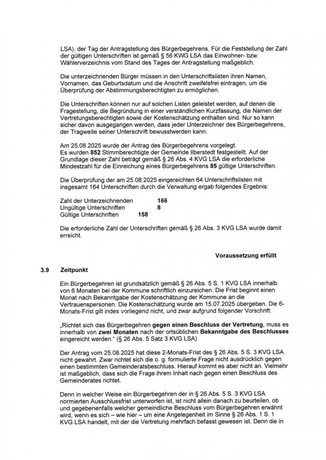
Bürgerbegehren

Buergerentscheid_Ilberstedt0825c.jpg

Kontaktieren Sie uns

Lage & Kontakt

Google Analytics

Zur Verbesserung unseres Angebotes und Erfassung Ihrer Interessen verwendet diese Seite Google Analytics. Wenn Sie dies nicht wünschen benutzen Sie bitte unten stehenden Link, um sich auszutragen.

Google Analytics akzeptieren Google Analytics deaktivieren